唾液酸化酶X
CasNo:98603-84-0
MDL:
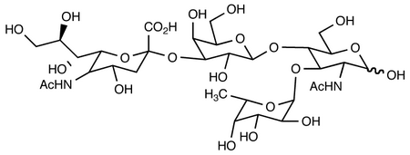
分子式:C31H52N2O23
分子量:820.74
所有產品僅用作科學研究和企業生產,我們不為任何個人用途提供產品和服務
收起

| |
品牌 |
貨號 |
品名 |
規格純度 |
包裝 |
庫存 |
牌價含稅 |
成交價 |
購買量 |
操作 |
點擊加載更多
加載完成
聲明
1、因廠家會在沒有任何提前通知的情況下更改產品價格、包裝、產地或者一些附件,若出現價格異常請以廠家官網價格為準,本司不能確保客戶收到的貨物與商城圖片、產地、附件說明完全一致,只能確保為原廠正貨!并且保證與當時市場上同樣主流新品一致。若本商城沒有及時更新,請大家諒解!
2、商品信息標注“一般危化品”“危化”的商品,如需購買需提供一般危化品購買資質。
3、僅可用于工業或者科研等非醫療目的。買賣雙方確認:依照中國法律法規之規定,本網站銷售的所有產品僅用于工業應用或者科學研究等非醫療目的,不可用于人類或動物的臨床診斷或治療,非藥用,非食用。我們特此明示提醒:您應嚴格恪守上述規定,不得超越正常的科研或教學目的而違規使用產品,否則由此造成的一切后果均應由您承擔;若我們因此遭受任何損失的,您也應負責對我們做出賠償。
我要委托采購
98603-84-0 產品
用戶需要登錄成功才能進行委托采購!
牌試劑可在下方直接購買,如需大包裝可發起委托采購。
CAS:98603-84-0
中文名:唾液酸化酶X
英文名:Sialyl Lewis X
中文別名:
英文別名:
Neu5Ac2-α-3Gal1-b-4[Fuc1-α-3]GlcNAc, O-(5-Acetamido-3,5-dideoxy-D-glycero-α-D-galacto-2-nonulopyranosylonic Acid)-2-α-3-O-(b-D-galactopyranosyl)-1-b-4-O-[(α-L-fucopyranosyl)-1-α-3]-2-acetamido-2-deoxy-D-glucopyranose]
性質:
Melting Point: NAbrStability: Store in freezerbrSolubility: Methanol, WaterbrBoiling Point: NAbrCategory: Oligosaccharidesbr
儲存:-20°C Freezer, Under Inert Atmosphere
安全術語:
風險術語:
危險品標志:
危險品運輸編號: