基本信息:
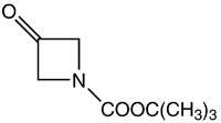
中文名稱 1-Boc-3-氮雜環(huán)丁酮
中文別名 1-(叔丁氧羰基)-3-氮雜環(huán)丁酮;1-Boc-3-氮雜啶酮;1-BOC-3-氮雜環(huán)丁酮;3-氧代氮雜環(huán)丁烷-1-羧酸叔丁酯;
英文名稱 tert-Butyl 3-oxoazetidine-1-carboxylate
英文別名 N-Boc-3-oxoazetidine;tert-butyl 3-oxoazetidinecarboxylate;N-Boc-3-azetidinone;1-N-Boc-3-azetidinone;1-Boc-azetidin-3-one;3-Oxoazetidine-1-carboxylic Acid tert-Butyl Ester;3-Oxoazetidine,N-BOC protected;1-(tert-Butoxycarbonyl)-3-azetidinone;N-Boc-azetidin-3-one;1-BOC-3-Azetidinone;1-Boc-3-azetidinone;tert-Butyl 3-Oxoazetidine-1-carboxylate;N-(t-butoxycarbonyl)azetidin-3-one;tert-Butyl-3-oxoazetidine-1-carboxylate;3-oxo-azetidine-1-carboxylic acid tert-butyl ester;
CAS號(hào) 398489-26-4
合成路線:
1.通過(guò)N-Boc-3-羥基氮雜環(huán)丁烷合成1-Boc-3-氮雜環(huán)丁酮,收率約99%;

中華試劑網(wǎng)提醒:合成路線僅供參考