基本信息:
中文名稱 三唑醇
中文別名 百坦;羥銹寧;1-(4-氯苯氧基)-3,3-二甲基-1-(1H-1,2,4三唑-1基)丁基-2-醇;三泰隆;α-叔丁基-β-(4-氯苯氧基)-1H-1,2,4-三唑-1-乙醇;1-(4-氯苯氧基)-1(1H-1,2,4-三唑)-3-二甲基-2-丁醇;1-(4-氯苯氧基)-1-(1H-1,2,4-三唑-1-基)-3,3-二甲基-丁-2-醇;
英文名稱 triadimenol
英文別名 (1RS,2RS;1RS,2SR)-1-(4-chlorophenoxy)-3,3-dimethyl-1-(1H-1,2,4-triazol-1-yl)butan-2-ol;β-(4-chlorophenoxy)-α-(1,1-dimethylethyl)-1H-1,2,4-triazole-1-ethanol;(1Ξ,2Ξ)-1-(4-chlorophenoxy)-3,3-dimethyl-1-(1H-1,2,4-triazol-1-yl)butan-2-ol;Triadimenol;
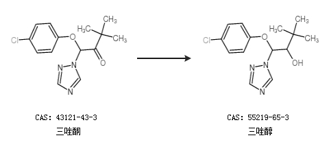
CAS號 55219-65-3
合成路線:
1.通過三唑酮合成三唑醇

2.通過對氯苯酚鈉鹽二水合成三唑醇,收率約17%;

中華試劑網提醒:合成路線僅供參考