基本信息:
中文名稱 2-氨基-2-氟苯甲酮
中文別名 (2-氨基苯基)-(2-氟苯基)甲酮;
英文名稱 (2-aminophenyl)-(2-fluorophenyl)methanone
英文別名 2-Amino-2''-fluorobenzophenone;NRAJMXHXQHCBHO-UHFFFAOYSA;2''-fluoro-2-aminobenzophenone;
CAS號 1581-13-1
合成路線:
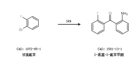
1.通過鄰溴氟苯合成2-氨基-2-氟苯甲酮,收率約34%;

2.通過靛紅酸酐合成2-氨基-2-氟苯甲酮

中華試劑網提醒 合成路線僅供參考