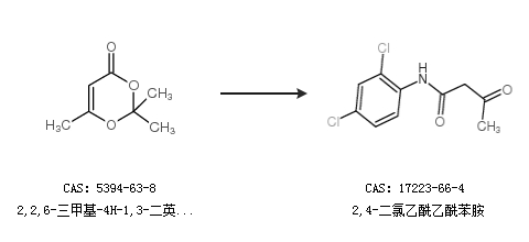
基本信息:
中文名稱 2,4-二氯乙酰乙酰苯胺
英文名稱 N-(2,4-dichlorophenyl)-3-oxobutanamide
英文別名 N-Acetoacetyl-2.4-dichlor-anilin;2'',4''-Dichloroacetoacetanilide;2'',4''-Dichloracetoacetanilid;
CAS號 17223-66-4
合成路線:
1.通過2,2,6-三甲基-4H-1,3-二英-4-酮合成2,4-二氯乙酰乙酰苯胺

中華試劑網提醒 合成路線僅供參考