基本信息:
中文名稱 N-Boc-順式-4-Fmoc-氨基-L-脯氨酸
中文別名 (2S,4S)-1-N-BOC-4-N-FMOC-氨基吡咯烷-2-甲酸;(2S,4S)-N-叔丁氧羰基-4-N-(9-芴甲氧羰基)氨基吡咯烷-2-羧酸;N-Boc-順式-4-N-Fmoc-氨基-L-脯氨酸;(2S,4S)-4-[(芴甲氧羰酰基)氨基]-1,2-吡咯烷二甲酸 1-叔丁酯;N-叔丁氧羰基-順-4-N-芴甲氧羰基-氨基-L-脯氨酸;
英文名稱 (4S)-4-N-Fmoc-amino-1-Boc-L-proline
英文別名 N-Boc-cis-4-Fmoc-Amino-L-proline;N-Boc-Cis-4-Fmoc-Amino-L-Proline;N-Boc-cis-4-N-Fmoc-amino-L-proline;
CAS號 174148-03-9
合成路線:
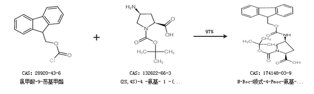
1.通過氯甲酸-9-芴基甲酯和(2S,4S)-4 -氨基- 1 -(叔丁氧羰基)吡咯烷二羧酸合成N-Boc-順式-4-Fmoc-氨基-L-脯氨酸,收率約97%;

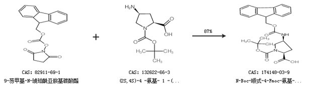
2.通過9-芴甲基-N-琥珀酰亞胺基碳酸酯和(2S,4S)-4 -氨基- 1 -(叔丁氧羰基)吡咯烷二羧酸合成N-Boc-順式-4-Fmoc-氨基-L-脯氨酸,收率約87%;

中華試劑網提醒 合成路線僅供參考