基本信息:
中文名稱 N-(4,5-二氯吡啶-2-基)-2,2-二甲基丙酰胺
英文名稱 N-(4,5-dichloropyridin-2-yl)-2,2-dimethylpropanamide
英文別名 N-(4,5-dichloropyridin-2-yl)pivalamide;N-(4,5-dichloro-2-pyridinyl)-2,2-dimethylpropanamide;Propanamide,N-(4,5-dichloro-2-pyridinyl)-2,2-dimethyl;4,5-Dichloro-2-(trimethylacetamido)pyridine;2-trimethylacetamido-4,5-chloro-pyridine;
CAS號 188577-71-1
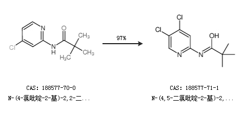
合成路線:
1.通過N-(4-氯吡啶-2-基)-2,2-二甲基丙酰胺合成N-(4,5-二氯吡啶-2-基)-2,2-二甲基丙酰胺,收率約97%;

2.通過2-氨基-4-氯吡啶合成N-(4,5-二氯吡啶-2-基)-2,2-二甲基丙酰胺

中華試劑網(wǎng)提醒 合成路線僅供參考