基本信息:
中文名稱 2-氯喹啉-6-磺酰氯
英文名稱 2-CHLOROQUINOLINE-6-SULFONYL CHLORIDE
英文別名 2-chloro-6-chlorosulfonylquinoline;2-Chloro-6-quinolinesulfonyl Chloride;
CAS號 205055-71-6
合成路線:
1.通過2-氯-6-喹啉胺合成2-氯喹啉-6-磺酰氯,收率約43%;

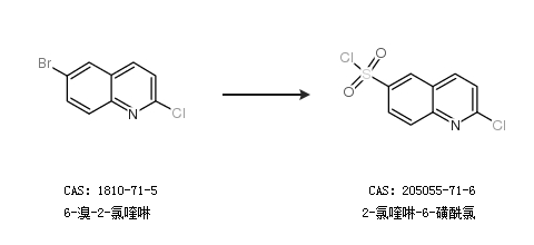
2.通過6-溴-2-氯喹啉合成2-氯喹啉-6-磺酰氯

中華試劑網(wǎng)提醒 合成路線僅供參考