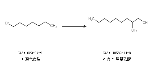
基本信息:
中文名稱 2-庚-2-甲基乙醇
中文別名 2-甲基-1-壬醇;
英文名稱 2-methylnonan-1-ol
英文別名 2-methyl-nonan-1-ol;EINECS 254-986-4;2-methyl-1-nonanol;1-Nonanol,2-methyl;2-Methylnonanol;
CAS號 40589-14-8
合成路線:
1.通過甲醇和正壬醇合成2-庚-2-甲基乙醇,收率約69%;

2.通過1-溴代庚烷合成2-庚-2-甲基乙醇

中華試劑網提醒 合成路線僅供參考