基本信息:
中文名稱 1-(4-硝基-2-噻吩)-乙酮
英文名稱 1-(4-nitrothiophen-2-yl)ethanone
英文別名 3-Nitro-5-acetyl-thiophen;1-(4-nitro-thiophen-2-yl)-ethanone;1-(4''-nitro-2''-thienyl)ethanone;2-ACETYL-4-NITROTHIOPHENE;Ethanone,1-(4-nitro-2-thienyl);1-(4-Nitro-[2]thienyl)-aethanon;2-Acetyl-4-nitro-thiophen;
CAS號 42791-51-5
合成路線:
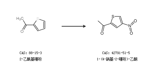
1.通過2-乙酰基噻吩合成1-(4-硝基-2-噻吩)-乙酮

2.通過5-乙酰基-2-噻吩甲醛合成1-(4-硝基-2-噻吩)-乙酮

中華試劑網提醒 合成路線僅供參考