基本信息:
中文名稱 4-溴-2-乙基乙酰苯胺
中文別名 4-溴-2-乙基乙酰胺;
英文名稱 4-BROMO-2-ETHYLACETANILIDE
英文別名 N-(4-bromo-2-ethylphenyl)acetamide;N-(4-BROMO-2-ETHYL-PHENYL)-ACETAMIDE;4′-Bromo-2′-ethylacetanilide;
CAS號 51688-73-4
合成路線:
1.通過4-溴-2-乙基苯胺和乙酰氯合成4-溴-2-乙基乙酰苯胺

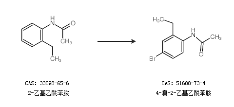
2.通過2-乙基乙酰苯胺合成4-溴-2-乙基乙酰苯胺

中華試劑網提醒 合成路線僅供參考