基本信息:
中文名稱 丙嗪
中文別名 N,N-二甲基-3-(10H-吩噻嗪-10-基)丙-1-胺;
英文名稱 promazine
英文別名 Berophen;N,N-dimethyl-3-phenothiazin-10-ylpropan-1-amine;Ampazine;Promazina;N,N-dimethyl-10H-phenothiazine-10-propanamine;Sinophenin;Liranol;Protactyl;Promazin;Prazine;Esparin;
CAS號 58-40-2
合成路線:
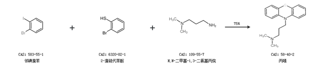
1.通過鄰碘溴苯、2-溴硫代苯酚和N,N-二甲基-1,3-二氨基丙烷合成丙嗪,收率約75%;

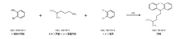
2.通過2-溴硫代苯酚、N,N-二甲基-1,3-二氨基丙烷和1,2-二溴苯合成丙嗪,收率約17%;

中華試劑網提醒 合成路線僅供參考