基本信息:
中文名稱 2-(4-氟芐基)丙二酸二乙酯
英文名稱 diethyl 2-[(4-fluorophenyl)methyl]propanedioate
英文別名 Propanedioic acid,[(4-fluorophenyl)methyl]-,diethyl ester;p-Fluorbenzyl-malonsaeure-diethylester;DIETHYL (4-FLUOROBENZYL))MALONATE;2-(4-fluoro-benzyl)-malonic acid diethyl ester;
CAS號 59223-74-4
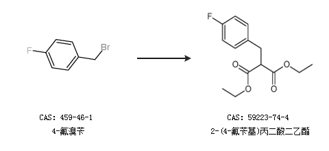
合成路線:
1.通過4-氟溴芐合成2-(4-氟芐基)丙二酸二乙酯

中華試劑網提醒 合成路線僅供參考