基本信息:
中文名稱 2,3-二氯-5-三氟甲基吡啶
中文別名 2,3-二氯-5-(三氟甲基)吡啶;2.3-二氯-5-三氟甲基吡啶;
英文名稱 2,3-Dichloro-5-(trifluoromethyl)pyridine
英文別名 2,3,5-DCTF;BUTTPARK 4510-37;5-trifluoromethyl-2,3-dichloropyridine;3-Dichloro-5-trifluoroMethylpyridine;2,3-dichloro-5-trifluoromethylpyridine;2,3-dichloro-5-trifluoropyridine;
CAS號 69045-84-7
合成路線:
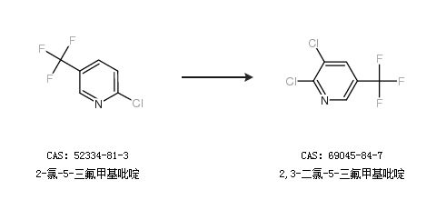
1.通過2-氯-5-三氟甲基吡啶合成2,3-二氯-5-三氟甲基吡啶

2.通過2,3-二氯-5-三氯甲基吡啶合成2,3-二氯-5-三氟甲基吡啶,收率約82%;

中華試劑網提醒 合成路線僅供參考