基本信息:
中文名稱 (6-氯吡啶-3-基)(氧基)乙酸乙酯
英文名稱 ethyl 2-(6-chloropyridin-3-yl)-2-oxoacetate
英文別名 ETHYL (6-CHLOROPYRIDIN-3-YL)(OXO)ACETATE;Ethyl6-Chloro-3-pyridylglyoxylate;
CAS號 902837-55-2
合成路線:
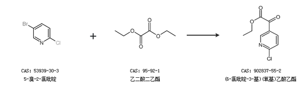
1.通過5-溴-2-氯吡啶和乙二酸二乙酯合成(6-氯吡啶-3-基)(氧基)乙酸乙酯

2.通過5-溴-2-氯吡啶和乙二酸二乙酯合成(6-氯吡啶-3-基)(氧基)乙酸乙酯

中華試劑網(wǎng)提醒 合成路線僅供參考