基本信息:
中文名稱 1-(1-金剛烷)吡咯烷-2-酮
英文名稱 1-(1-Adamantyl)pyrrolidin-2-one
英文別名 N-(1-Adamantyl)-2-pyrrolidone;1-(1-adamantyl)pyrrolidone;1-(1-Adamantanyl)-2-pyrrolidinon;1-adamantan-1-yl-pyrrolidin-2-one;
CAS號 3716-62-9
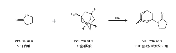
合成路線:
1.通過γ-丁內酯和1-金剛烷胺合成1-(1-金剛烷)吡咯烷-2-酮,收率約87%;

2.通過2-吡咯烷酮合成1-(1-金剛烷)吡咯烷-2-酮,收率約73%;

中華試劑網提醒:合成路線僅供參考