基本信息:
中文名稱 2,5-二羥基對苯二甲酸乙酯
中文別名 2,5-二羥基對苯二甲酸二乙酯;2,5-二羥基-1,4-苯二甲酸二乙酯;
英文名稱 diethyl 2,5-dihydroxybenzene-1,4-dicarboxylate
英文別名 1,4-Benzenedicarboxylic acid,2,5-dihydroxy-,diethyl ester;2,5-Dihydroxyterephthalic acid diethyl ester;Diethyl 2,5-dihydroxyterephthalate;diethyl 2,5-dihydroxylterephthalate;diethyl 1,4-dihydroxycyclohexa-1,4-diene-2,5-dicarboxylate;
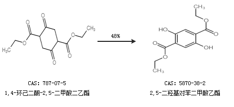
CAS號 5870-38-2
合成路線:
1.通過乙醇和2,5-二羥基對苯二甲酸合成2,5-二羥基對苯二甲酸乙酯,收率約94%;

2.通過1,4-環己二酮-2,5-二甲酸二乙酯合成2,5-二羥基對苯二甲酸乙酯,收率約48%;

中華試劑網提醒:合成路線僅供參考