基本信息:
中文名稱 4,5-二甲基噁唑-2-胺
中文別名 4,5-二甲基-1,3-惡唑-2-胺;
英文名稱 4,5-dimethyl-1,3-oxazol-2-amine
英文別名 4,5-Dimethyl-oxazol-2-ylamine;2-Oxazolamine,4,5-dimethyl;4,5-Dimethyloxazol-2-amine;4,5-Dimethyl-oxazol-2-ylamin;2-Amino-4,5-dimethyl-oxazol;2-amino-4,5-dimethyloxazole;
CAS號 45529-92-8
合成路線:
1.通過單氰胺和3-羥基-2-丁酮合成4,5-二甲基噁唑-2-胺

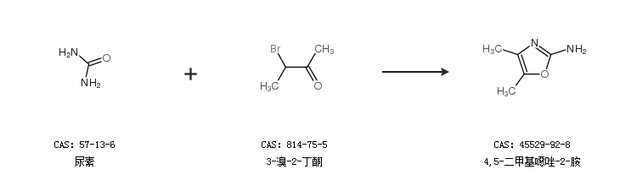
2.通過尿素和3-溴-2-丁酮合成4,5-二甲基噁唑-2-胺

中華試劑網提醒:合成路線僅供參考