基本信息:
中文名稱 4-氯-2,6-二酰基吡啶
英文名稱 1-(6-acetyl-4-chloropyridin-2-yl)ethanone
英文別名 2,6-diacetyl-4-chloropyridine;4-Chloro-2,6-diacetylpyridine;Ethanone,1,1''-(4-chloro-2,6-pyridinediyl)bis;
CAS號 195967-10-3
合成路線:
1.通過甲基氯化鎂合成4-氯-2,6-二酰基吡啶,收率約89%;

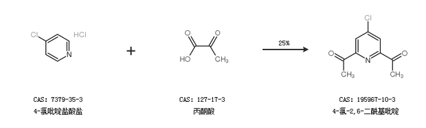
2.通過4-氯吡啶鹽酸鹽和丙酮酸合成4-氯-2,6-二酰基吡啶,收率約25%;

中華試劑網提醒:合成路線僅供參考