基本信息:
中文名稱 6-氯己酸甲酯
英文名稱 methyl 6-chlorohexanoate
英文別名 6-chloro-1-hexanoic acid methyl ester;Hexanoic acid,6-chloro-,methyl ester;6-Chlorhexansaeure-methylester;6-chloro-hexanoic acid methyl ester;
CAS號 14273-89-3
合成路線:
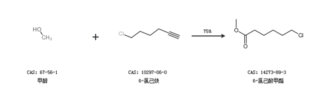
1.通過甲醇和6-氯己炔合成6-氯己酸甲酯,收率約75%;

2.通過甲醇和6-氯-1-己醇合成6-氯己酸甲酯,收率約78%;

中華試劑網提醒:合成路線僅供參考